Το μέλλον είναι ηλεκτρικό, αλλά το ίδιο χάλια
Επιπλέον, καθαρίζοντας τον Κηφισό, κινητικότητα και πυκνότητα, Prospera, ο ακραίος καύσωνας αναδιαμορφώνει την καθημερινή ζωή, το πολιτικό χάσμα μεταξύ οδηγών και πεζών, τεχνητή νοημοσύνη για Δήμαρχο
Το αναθεωρημένο Εθνικό Σχέδιο για την Ενέργεια και το Κλίμα (βγήκε σε δημόσια διαβούλευση μέχρι τις 16 Σεπτεμβρίου) αποτελεί για την Ελληνική Κυβέρνηση ένα Στρατηγικό Σχέδιο για τα θέματα του Κλίματος και της Ενέργειας και παρουσιάζεται σε αυτό ένας αναλυτικός οδικός χάρτης για την επίτευξη συγκεκριμένων Ενεργειακών και Κλιματικών Στόχων προς τον στόχο της κλιματικής ουδετερότητας το 2050, με αρχικό ορόσημο το έτος 2030.
Η ανάπτυξη της στρατηγικής είναι χωρισμένη σε τρεις περιόδους:
Α' Περίοδος (2025-2030):
Ταχεία διείσδυση Ανανεώσιμων Πηγών Ενέργειας (ΑΠΕ) στην ηλεκτροπαραγωγή
Ανάπτυξη υποδομών για εξηλεκτρισμό της τελικής κατανάλωσης ενέργειας
Τερματισμός χρήσης λιγνίτη για ηλεκτροπαραγωγή έως το 2028
Έναρξη παραγωγής βιομεθανίου και προηγμένων βιοκαυσίμων
Εγκατάσταση πρώτων μονάδων παραγωγής πράσινου υδρογόνου
Β' Περίοδος (2030-2040):
Ταχύς εξηλεκτρισμός της τελικής κατανάλωσης ενέργειας
Θεαματική αύξηση ηλεκτροκίνησης στις οδικές μεταφορές
Αύξηση εξηλεκτρισμού θέρμανσης κτιρίων και βιομηχανίας
Επέκταση και ενίσχυση δικτύων μεταφοράς και διανομής ηλεκτρικής ενέργειας
Στόχος μείωσης εκπομπών αερίων θερμοκηπίου κατά 80% έναντι του 1990
Γ' Περίοδος (2040-2050):
Ταχεία ανάπτυξη παραγωγής πράσινου υδρογόνου και συνθετικών καυσίμων
Εστίαση στην απανθρακοποίηση δύσκολων τομέων (βαριές οδικές μεταφορές, ναυτιλία, αεροπλοΐα)
Χρήση ανανεώσιμων συνθετικών καυσίμων για ναυτιλία και αεροπλοΐα
Το σχέδιο προβλέπει σταδιακή μείωση της χρήσης ορυκτών καυσίμων, αύξηση της ενεργειακής αποδοτικότητας, και ανάπτυξη νέων τεχνολογιών και υποδομών. Επίσης, τονίζεται η ανάγκη για αναθεώρηση του μοντέλου της αγοράς ηλεκτρικής ενέργειας και η σημασία της εγχώριας παραγωγής συνθετικών καυσίμων και υδρογόνου. Είναι ένα ενδιαφέρον κείμενο με διάφορα διαμαντάκια.
Αγαπημένο μου παράδειγμα είναι η αναφορά -ως μέτρο προς εξέταση και όχι ως πρόταση για να μην χάσει κάποια τη δουλειά της- της θέσπισης της υποχρεωτικής εξασφάλισης θέσης στάθμευσης για αγορά καινούριου αυτοκινήτου (σελ. 218). Αυτά γίνονται μόνο στην Ιαπωνία.
Στο κείμενο γίνεται επίσης η απαραίτητη εν έτει 2024 αναφορά πως «Στο αναθεωρημένο ΕΣΕΚ δίνεται έμφαση στη μείωση των εκπομπών CO2 ειδικά στις αστικές μεταφορές, μέσω, εκτός των άλλων, της αντικατάστασης παραδοσιακών μορφών και μεθόδων μετακίνησης με πιο σύγχρονες και φιλικές στο περιβάλλον. Σκοπός είναι η ανάπτυξη εναλλακτικών μορφών μετακίνησης όπως η μικρο-κινητικότητα (π.χ. χρήση ποδηλάτου) και η ενεργή κινητικότητα, καθώς και αύξηση της χρήσης των Μέσων Μαζικής Μεταφοράς (ΜΜΜ), στα οποία θα πρέπει να υιοθετηθούν λύσεις μειωμένου ανθρακικού αποτυπώματος (εξηλεκτρισμός στόλου λεωφορείων, ανάπτυξη δικτύου Μετρό κ.λπ.). Σκοπός είναι οι παραπάνω άξονες, εκτός από τη συμβολή τους στη μείωση των εκπομπών CO2 στα αστικά κέντρα, να συντελέσουν και στην μετατροπή των κορεσμένων κυκλοφοριακά ελληνικών πόλεων σε πόλεις Βιώσιμης Κινητικότητας, δηλαδή να απεξαρτηθούν από το αυτοκίνητο και να μετατραπούν σε ήπιας κυκλοφορίας, προσανατολισμένες στον άνθρωπο. Στο πλαίσιο αυτό υιοθετείται ο στόχος για μείωση του μεριδίου χρήσης ιδιωτικών μηχανοκίνητων μέσων έναντι ήπιων και συλλογικών μέσων μετακίνησης (περπάτημα – ποδήλατο - ΜΜΜ)».
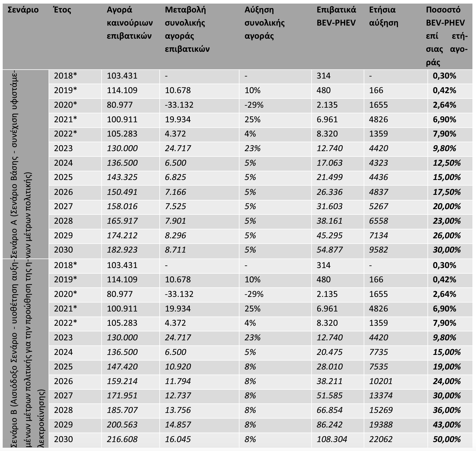
Έχουμε επίσης και το «3.1.7 Μέτρα και πολιτικές για τις αστικές βιοκλιματικές αναπλάσεις και τις έξυπνες πόλεις». Ένα πολύ ωραίο κείμενο που αποτυπώνει το όραμα των πιο φιλόδοξων πόλεων του πλανήτη μας αλλά που παρά τον τίτλο του δεν περιγράφει κανένα μέτρο ή πολιτική και δεν περιέχει ούτε ένα νούμερο-στόχο. Υπάρχουν διάφορα τέτοια τυράκια που πρόσθεσαν μέλη της συγγραφικής ομάδας, όμως η ουσία του ΕΣΕΚ είναι άλλη. Απλά διαβάστε τον παρακάτω πίνακα.
Το αισιόδοξο σενάριο του κλιματικού μας σχεδίου είναι να αγοράζουμε όσα αυτοκίνητα αγοράζαμε τη χρυσή δεκαετία του 2000 και να πληρώνει το κράτος για να είναι ηλεκτρικά. Δεν αδυνατώ να καταλάβω πως αυτό που προσπαθεί να περιγράψει είναι πως όσα περισσότερα αυτοκίνητα πουληθούν τόσο πιο γρήγορα θα αντικατασταθεί ο γερασμένος και περιβαλλοντικά επιβαρυντικός σημερινός στόλος. Όμως σας φαντάζει λογικό το όραμα για τις μεταφορές μας, ενώ θεωρητικά καταλαβαίνουμε και περιγράφουμε τα προβλήματα που δημιουργεί η σημερινή εξάρτηση από το αυτοκίνητο, να είναι αυτό;
Από τη στιγμή που ο ενεργός πληθυσμός μειώνεται κάθε χρόνο, δεν θα έπρεπε να στοχεύουμε ταυτόχρονα τόσο στον εξηλεκτρισμό του στόλου όσο και στην μείωση του; Είναι πολύ πιο απλό, οικονομικό και δίκαιο από το να προσπαθούμε να πληρώσουμε αρκετά τον λαό με τη δεύτερη (ή πρώτη πλέον;) χαμηλότερη αγοραστική δύναμη στην Ευρώπη και τα αυτοκίνητα 17ετίας να αγοράσει ηλεκτρικό αυτοκίνητο. Ο σημερινός Υπουργός Περιβάλλοντος και Ενέργειας, κος Σκυλακάκης, ήταν εξάλλου που όταν συζητούσαμε για τις επιδοτήσεις της βενζίνης είχε δηλώσει πολύ σωστά πως όσο μεγαλύτερο εισόδημα έχει ένα νοικοκυριό τόσο πιο πιθανό να χρησιμοποιεί αυτοκίνητο (ή αυτοκίνητα).
Πως ακριβώς υιοθετείται λοιπόν ο στόχος για μείωση του μεριδίου χρήσης ιδιωτικών μηχανοκίνητων μέσων έναντι ήπιων και συλλογικών μέσων μετακίνησης; Με μία μόνο θεωρητική αναφορά σε 516 σελίδες και με προτεινόμενα να κάνουμε ΣΒΑΚ (και ηλεκτρονική πλατφόρμα για τα ΣΒΑΚ!) και σχέδια για την προώθηση του ποδηλάτου και του περπατήματος; Που είναι τα χρήματα για τις υποδομές που θα προτείνουν αυτά τα σχέδια; Και τι ακριβώς κάνουμε τα ΣΒΑΚ που έχουν ήδη πραγματοποιηθεί;
Να δείτε που στο τέλος το μέτρο “Προώθηση διατάξεων του Κώδικα Οδικής Κυκλοφορίας για την προώθηση εναλλακτικών μορφών μετακίνησης (πεζή, ποδήλατο, μικροκινητικότητα) με στόχο την ασφαλή κυκλοφορία και συνύπαρξη όλων των χρηστών του οδικού δικτύου η οποία θα συνεισφέρει στην αύξηση του ποσοστού μετακίνησης με εναλλακτικά μέσα ή πεζή” (σελ. 219) θα μεταφραστεί στο να φοράνε οι ποδηλάτες κράνος.
Είναι κρίμα που δεν συναντάμε την ίδια τόλμη, αποφασιστικότητα και φιλοδοξία στο όραμα για τις μεταφορές μας, όπως βλέπουμε σε άλλους τομείς του ΕΣΕΚ. Για παράδειγμα, το σχέδιο είναι πολύ πιο επιθετικό όσον αφορά τη βελτίωση της ενεργειακής απόδοσης στον κτιριακό τομέα και την αντιμετώπιση της ενεργειακής φτώχειας. Μέχρι το 2030, στοχεύει σε μείωση 16% της μέσης χρήσης πρωτογενούς ενέργειας στα οικιακά κτίρια, με ετήσιο ρυθμό ανακαίνισης 68.000 κατοικιών την περίοδο 2025-2030. Παράλληλα, επιδιώκει μείωση της ενεργειακής φτώχειας κατά 75% έως το 2030 σε σχέση με το 2016. Για την επίτευξη αυτών των στόχων, εφαρμόζονται διάφορα προγράμματα όπως το "Εξοικονομώ", "ΗΛΕΚΤΡΑ", και "Εξοικονομώ - Επιχειρώ", ενώ προωθούνται αποδοτικά συστήματα θέρμανσης/ψύξης και ΑΠΕ.
Όταν για την ενέργεια και τα κτίρια οραματιζόμαστε ένα μέλλον με αντλίες θερμότητας, πράσινο υδρογόνο και προηγμένη βιομάζα, στις αστικές μεταφορές η φαντασία μας φαίνεται να περιορίζεται σε μια απλή, ένα προς ένα αντικατάσταση του υπάρχοντος στόλου με ηλεκτρικά. Και αν η φαντασία μας είναι περιορισμένη μάλλον θα δυσκολευτούμε αρκετά να βρούμε που θα βάλουμε τους χιλιάδες φορτιστές που θα χρειαστούν στα κέντρα των πόλεων μας αν προχωρήσουμε με αυτό το πλάνο. Αφού το ποδήλατο και τα λεωφορεία δεν μας αρέσουν, ας διαβάζαμε τουλάχιστον για ιπτάμενα και αυτόνομα αυτοκίνητα. Η διαβούλευση είναι ανοιχτή.
Ελλάδα
Αφορολόγητα για τρία χρόνια τα εισοδήματα από ενοίκια διαμερισμάτων που ήταν κλειστά ή διετίθεντο για βραχυχρόνια μίσθωση και θα διατεθούν για μακροχρόνια μίσθωση.
Καθαρίζοντας τον Κηφισό για πρώτη φορά μετά από πολλές δεκαετίες.
Αφήνω να σχολιάσετε μόνες σας το άρθρο της Καθημερινής με τίτλο ‘«Ξεφούσκωτο» το όνειρο του ποδηλάτου’. Παραπομπές: Πως έγιναν ποδηλατουπόλεις το Άμστερνταμ και το Παρίσι, Ανθισμένα δέντρα (απόφασης), Αυτοκινητοκέφαλοι.
Το ΚΠΙΣΝ διοργανώνει, για τρίτη συνεχή χρονιά, το SNFCC Green Weekend, ένα διήμερο αφιερωμένο στο περιβάλλον, με ποικίλες δράσεις και κεντρική θεματική για φέτος την «Πράσινη Πόλη».
«Ωδή» στα αθηναϊκά πεζοδρόμια από την Guardian.
Πρόταση του αρχιτέκτονα Δημήτρη Κονταργύρη για ανακούφιση της πλατείας Συντάγματος από τα αυτοκίνητα.
Reddit thread από Έλληνες που διαμαρτύρονται για τη ζέστη που βιώνουν.
Λίγο πριν εκπνεύσει η καταληκτική προθεσμία αλλαγής των ορίων της Χρυσής Βίζας, το ενδιαφέρον έχει κορυφωθεί.
Hackathon Ελλάδας – Τουρκίας για Έξυπνες Πόλεις.
Πρέπει να χτίσουμε περισσότερα και καλύτερα σπίτια.
Σε αναλυτική καταγραφή των κλειστών ακινήτων προχωρά το Υπουργείο Εθνικής Οικονομίας για την αντιμετώπιση του στεγαστικού προβλήματος.
Ψηφιακή πλατφόρμα για την παρακολούθηση της προόδου υλοποίησης έργων προϋπολογισμού άνω του 1 εκατομμυρίου ευρώ, σε κάθε Δήμο, Περιφερειακή Ενότητα ή Περιφέρεια.
Η Αττική έχασε το 1/3 των δασών της την τελευταία οκταετία. Νερό έχει για τα επόμενα 4 χρόνια.
Θα έπρεπε να ξαναχτίσουμε την Αρχαία Αθήνα;
Η πόλη που έχει πάψει να ονειρεύεται.
Δεύτερη ζωή για τις στοές της Αθήνας.
Πέντε διατηρητέα στην οδό Πόρου.
Αστική ζωή
Είναι η κινητικότητα, και όχι η πυκνότητα του πληθυσμού, το κλειδί για την ανάπτυξη και ευημερία; Μπορεί στην θεωρία, αλλά η πυκνότητα είναι ο πιο φθηνός τρόπος να πετύχουμε την κινητικότητα και πετυχαίνει περισσότερα πιο εύκολα στους μη οικονομικούς δείκτες.
Η ανάπλαση της γειτονιάς Sun Valley στο Ντένβερ αποκαλύπτει τις προκλήσεις και τις αρνητικές επιπτώσεις του εξευγενισμού στις κοινότητες χαμηλού εισοδήματος. Το ποσοστό επιστροφής του αρχικού πληθυσμού μετά από αντίστοιχες αναπλάσεις στις ΗΠΑ είναι 15-20%.
Οι NYT καλύπτουν την Prospera. Η Prospera είναι μια ιδιωτική, κερδοσκοπική πόλη στα ανοικτά των ακτών της Ονδούρας, με τη δική της κυβέρνηση που προσελκύει ξένους επενδυτές μέσω χαμηλών φόρων και ελαφρών ρυθμίσεων. την crypto πόλη που ίδρυσε μια αμερικανική εταιρεία. Η κυβέρνηση της χώρας δε την θέλει άλλο εκεί.
Οι πόλεις των ΗΠΑ αναπτύσσουν προγράμματα κοινωνικής συνοχής και υποστήριξης για την προστασία των ευάλωτων και μοναχικών ατόμων από τους κινδύνους των κυμάτων καύσωνα, αναγνωρίζοντας τη σύνδεση μεταξύ κοινωνικής απομόνωσης και αυξημένου κινδύνου θανάτου από τη ζέστη. Μια άλλη πρόκληση είναι η εφαρμογή αποτελεσματικών κέντρων ψύξης για την αντιμετώπιση των ακραίων θερμοκρασιών, με την επιτυχία να εξαρτάται από την προσβασιμότητα, την τοποθεσία και την ευαισθητοποίηση της κοινότητας.
Τι βιώνουν τα νοσοκομεία της Λαχόρης του Πακιστάν, όπου η θερμοκρασία έφτασε τους 49°C τον Μάιο, λόγο της ακραίας ζέστης.
Η Φρανκφούρτη εφαρμόζει καινοτόμες στρατηγικές αστικής ψύξης, αξιοποιώντας τα τοπικά ρεύματα αέρα.
Ο ακραίος καύσωνας αναδιαμορφώνει την καθημερινή ζωή παγκοσμίως, οδηγώντας σε προσαρμογές όπως αλλαγές στα ωράρια εργασίας. Το κλείσιμο των σχολείων στις ΗΠΑ λόγω καύσωνα έχει τριπλασιαστεί και φτάνει κατά μέσο όρο τις 8 ημέρες ετησίως.
Από την άλλη, η πόλη Σκότσντεϊλ της Αριζόνα μετατρέπει τον καύσωνα σε τουριστικό πόλο έλξης. Μας βλέπω εύκολα να παίζουμε αυτό το χαρτί.
Ο αστικός πληθυσμός της Ινδίας πρόκειται να διπλασιαστεί έως το 2050, απαιτώντας επείγουσες μεταρρυθμίσεις στη χρήση γης, τις δημόσιες συγκοινωνίες και την προσαρμογή στις κλιματικές συνθήκες.
Τα cortiços, ένα είδος πρόχειρης κατοικίας στο Σάο Πάολο, παραμένουν παρά τις προκλήσεις τους μια κρίσιμη λύση στέγασης για τους χαμηλόμισθους κατοίκους της πόλης. Το 2022 περισσότεροι από 80.000 άνθρωποι ζούσαν σε αυτά
Το ελεύθερο παιχνίδι είναι ζωτικής σημασίας για την ανάπτυξη των παιδιών, αλλά οι αστικές περιοχές συχνά στερούνται κατάλληλων χώρων για τέτοιου είδους δραστηριότητες.
Τα αστικά δάση προσφέρουν πολλαπλά οφέλη για τις πόλεις, συμπεριλαμβανομένης της ψύξης, της βιοποικιλότητας και της αναψυχής, και αυτό το άρθρο παρέχει συγκεκριμένες συστάσεις για τη δημιουργία τους.
Οδηγός αστικής κολύμβησης στις ευρωπαϊκές πόλεις.
Το στοίχημα της Βενετίας με τη χρέωση για την είσοδο στην πόλη απέτυχε. Ίσως χρειάζεται ακριβότερο εισιτήριο;
Η Βαρκελώνη δέχεται περίπου 32 εκατομμύρια επισκέπτες ετησίως, με πληθυσμό μόλις 1,6 εκατομμύρια κατοίκους και αδειάζει τους κάδους στη La Rambla 14 φορές τη μέρα. Μπορεί να επιβιώσει τον υπερτουρισμό;
Τα πουλιά των πόλεων φιλοξενούν περισσότερα ανθεκτικά στα αντιβιοτικά βακτήρια από τα αγροτικά πουλιά, γεγονός που υποδηλώνει τους πιθανούς κινδύνους για την ανθρώπινη υγεία.
Η Σιγκαπούρη πέτυχε εντυπωσιακή αύξηση της ιδιοκτησίας κατοικιών από 27% σε 90% μέσα σε 30 χρόνια, χρησιμοποιώντας μια στρατηγική προσέγγιση που συνδύαζε προσιτή στέγαση, εύκολη χρηματοδότηση και κυβερνητική υποστήριξη.
Μένοντας στη Σιγκαπούρη, το Palisades, ένα μοναδικό συγκρότημα διαμερισμάτων με τελεφερίκ ανελκυστήρα, πρόκειται να κατεδαφιστεί το επόμενο έτος, σηματοδοτώντας το τέλος ενός αξιοσημείωτου αρχιτεκτονικού έργου.
Τα άτομα που εθελοντικά προσφέρουν στις κοινότητές τους, έχουν σημαντικά οφέλη για την κοινωνική συνοχή αλλά και την προσωπική τους υγεία.
Πόλεις σε όλο τον κόσμο, όπως το Πόρτλαντ, το Ρότερνταμ, το Γουχάν και το Βερολίνο, εφαρμόζουν καινοτόμες στρατηγικές συλλογής βρόχινου νερού για την αντιμετώπιση της λειψυδρίας, την πρόληψη πλημμυρών και την προώθηση της βιώσιμης αστικής ανάπτυξης.
Περί της πόλης του Μεξικού και της Τενοτστιτλάν.
Η αρχιτεκτονική προσέγγιση "Προοδευτικά Λιγότερο" επεκτείνει τη ζωή των υπαρχόντων κτιρίων αφαιρώντας μέρη και προσθέτοντας ελάχιστα νέα στοιχεία, προκαλώντας παραδοσιακές αντιλήψεις για την ομορφιά και αντιμετωπίζοντας περιβαλλοντικές ανησυχίες.
Οι άτυποι πράσινοι χώροι στις πόλεις, όπως κενά οικόπεδα και λωρίδες πρασίνου κατά μήκος δρόμων, προσφέρουν σημαντικά περιβαλλοντικά και κοινωνικά οφέλη.
Η εξέλιξη του skateboarding από περιθωριακή δραστηριότητα σε Ολυμπιακό άθλημα οδηγεί στη δημιουργία "κήπων skateboarding", συνδυάζοντας αστικό σχεδιασμό, περιβαλλοντική βιωσιμότητα και κοινοτικές ανάγκες.
Βιώσιμη κινητικότητα
Η μεταμόρφωση του Μόντρεαλ, με πρωτοβουλίες όπως η δημιουργία ζωνών χωρίς αυτοκίνητα και η βελτίωση των υποδομών για ποδήλατα.
Μετά το Παρίσι, και η Μαδρίτη απαγορεύει τα κοινόχρηστα πατίνια.
Η βρετανική κυβέρνηση σχεδιάζει σημαντικές επενδύσεις στην ενεργή μετακίνηση, με στόχο τη βελτίωση της υγείας, εστιάζοντας σε μακροπρόθεσμη χρηματοδότηση για δίκτυα πεζοπορίας και ποδηλασίας.
Το Λος Άντζελες σχεδιάζει να φιλοξενήσει τους Ολυμπιακούς Αγώνες του 2028 χωρίς τη χρήση αυτοκινήτων.
Η τουρκική κυβέρνηση σχεδιάζει να αυξήσει τον αριθμό των ταξί στην Κωνσταντινούπολη κατά 73%, στοχεύοντας σε αναλογία ενός ταξί ανά 500 κατοίκους, για να αντιμετωπίσει τα χρόνια παράπονα σχετικά με την υπηρεσία ταξί στην πόλη.
Το πολιτικό χάσμα μεταξύ των Ρεπουμπλικανών οδηγών και των Δημοκρατικών πεζών.
Στην Αιθιοπία, τα ηλεκτρικά αυτοκίνητα πλησιάζουν το 10% του συνόλου των αυτοκινήτων που κυκλοφορούν στους δρόμους.
Η ιστορία της κόρνας Klaxon αντικατοπτρίζει τις διαχρονικές εντάσεις μεταξύ της τεχνολογίας των αυτοκινήτων, της αστικής ποιότητας ζωής και των ατομικών έναντι των κοινωνικών αναγκών.
Ο Economist για την παχυσαρκία των αυτοκινήτων στις ΗΠΑ.
Τεχνολογία
Υποψήφιος δήμαρχος του Σεγιέν στο Ουαϊόμινγκ υποσχόταν να αφήσει τη τεχνητή νοημοσύνη να διοικήσει την πόλη. Δεν πέρασε στον δεύτερο γύρο.
Το Εθνικό Ενυδρείο της Βαλτιμόρης δημιούργησε ένα πλωτό τεχνητό υγρότοπο 900 τετραγωνικών μέτρων, με στόχο την αποκατάσταση της θαλάσσιας ζωής και τη βελτίωση της ποιότητας του νερού στο Inner Harbor.
Ο MareNostrum της Βαρκελώνης, ένας από τους ισχυρότερους υπερυπολογιστές στον κόσμο, επικεντρώνεται στην ανάλυση μεθόδων για καλύτερο πολεοδομικό σχεδιασμό.
[📹] Τα αυτόνομα Waymo κορνάρουν το ένα στο άλλο μέσα στο βράδυ και ξυπνάνε τους κατοίκους του Σαν Φρανσίσκο.










